Phân tử khối của Rutin (chính xác nhất)
Phân tử khối của Rutin hay rutoside, quercetin-3-O-rutinoside (công thức phân tử là: C27H30O16) có phân tử khối là 610. Bài viết dưới đây giúp bạn hiểu rõ hơn về cách tính phân tử khối của Rutin. Mời các bạn đón đọc.
1. Rutin là gì?
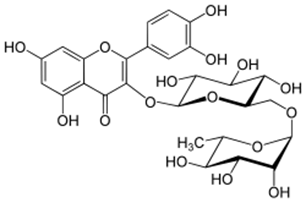
- Rutin (còn được gọi là rutoside, quercetin-3-O-rutinoside) là một hợp chất tự nhiên thuộc nhóm flavonoid glycoside, thường tìm thấy trong nhiều loại thực vật như hoa hòe, kiều mạch, cam quýt. Công thức phân tử của rutin là C27H30O16.
- Rutin có phân tử khối M = 610.
- Công thức cấu tạo của rutin:
2. Cách tính phân tử khối của rutin
- Phân tử khối của rutin là 610. Cách tính như sau:
= 27.MC + 30.MH + 16.MO = 27.12 + 30.1 + 16.16 = 610.
3. Phân tử khối là gì?
- Phân tử khối là khối lượng tương đối của một phân tử.
- Phân tử khối của một chất bằng tổng nguyên tử khối của các nguyên tử trong phân tử chất đó.
Ví dụ:
Phân tử khối của khí nitrogen (N2) bằng: 14.2 = 28.
Phân tử khối của đường (C12H22O11) bằng: 12.12 + 1.22 + 16.11 = 342.
4. Bài tập minh họa
Câu 1: Công thức phân tử của rutin là
A. C21H20O12.
B. C27H30O16.
C. C15H10O7.
D. C30H26O16.
Lời giải:
Đáp án đúng là: B
Câu 2: Rutin có chứa loại liên kết nào sau đây?
A. Liên kết glycoside.
B. Liên kết peptide.
C. Liên kết hydrogen.
D. Liên kết phosphodiester.
Lời giải:
Đáp án đúng là: A
Câu 3: Rutin có phân tử khối là
A. 302.
B. 464.
C. 610.
D. 324.
Lời giải:
Đáp án đúng là: C
Xem thêm phân tử khối của các chất hóa học hay khác:
- Phân tử khối của Ritalinic acid hydrochloride
- Phân tử khối của Salicin
- Phân tử khối của Salbutamol
- Phân tử khối của 2,3,3,3-tetrafluoropropene
- Phân tử khối của Vitamin A
- Phân tử khối của Vitamin B12
- Đề thi lớp 1 (các môn học)
- Đề thi lớp 2 (các môn học)
- Đề thi lớp 3 (các môn học)
- Đề thi lớp 4 (các môn học)
- Đề thi lớp 5 (các môn học)
- Đề thi lớp 6 (các môn học)
- Đề thi lớp 7 (các môn học)
- Đề thi lớp 8 (các môn học)
- Đề thi lớp 9 (các môn học)
- Đề thi lớp 10 (các môn học)
- Đề thi lớp 11 (các môn học)
- Đề thi lớp 12 (các môn học)
- Giáo án lớp 1 (các môn học)
- Giáo án lớp 2 (các môn học)
- Giáo án lớp 3 (các môn học)
- Giáo án lớp 4 (các môn học)
- Giáo án lớp 5 (các môn học)
- Giáo án lớp 6 (các môn học)
- Giáo án lớp 7 (các môn học)
- Giáo án lớp 8 (các môn học)
- Giáo án lớp 9 (các môn học)
- Giáo án lớp 10 (các môn học)
- Giáo án lớp 11 (các môn học)
- Giáo án lớp 12 (các môn học)