Bài toán thực tế lớp 12 Vectơ và tọa độ của vectơ trong không gian

Bài toán thực tế lớp 12 Vectơ và tọa độ của vectơ trong không gian có lời giải chương trình mới dùng chung cho ba sách Kết nối tri thức, Chân trời sáng tạo, Cánh diều với bài tập đa dạng giúp Giáo viên có thêm tài liệu giảng dạy các dạng toán thực tế lớp 12.

Xem thử

Chỉ từ 300k mua trọn bộ Chuyên đề, các dạng Toán thực tế lớp 12 chương trình mới bản word trình bày đẹp mắt, chỉnh sửa dễ dàng:

A. LÝ THUYẾT CẦN NHỚ

1. Vectơ trong không gian

Định nghĩa: Vectơ trong không gian là một đoạn thẳng có hướng.Độ dài của vectơ trong không gian là khoảng cách giữa điểm đầu và điểm cuối của vectơ đó.

Chú ý: Tương tự như vectơ trong mặt phẳng, đối với vectơ trong không gian ta cũng có các kí hiệu và khái

niệm sau:

• Vectơ có điểm đầu là A và điểm cuối là B được kí hiệu là AB.

• Khi không cần chỉ rõ điểm đầu và điểm cuối của vectơ thì vectơ còn được kí hiệu là a,b,x,y,

• Độ dài của vectơ AB được kí hiệu là |AB|, độ dài của vectơ a được kí hiệu là |a|

• Đường thẳng đi qua điểm đầu và điểm cuối của một vectơ được gọi là giá của vectơ đó (Hình 1).

Bài toán thực tế lớp 12 Vectơ và tọa độ của vectơ trong không gian

Hình 1. Đường thẳng d là giá của vectơ a

Tương tự như trường hợp của vectơ trong mặt phẳng, ta có các khái niệm sau đối với vectơ trong không gian:

• Hai vectơ được gọi là cùng phương nếu chúng có giá song song hoặc trùng nhau.

• Nếu hai vectơ cùng phương thì chúng cùng hướng hoặc ngược hướng.

• Hai vectơ ab được gọi là bằng nhau, kí hiệu a = b, nếu chúng có cùng độ dài và cùng hướng.

Chú ý: Tương tự như vectơ trong mặt phẳng, ta có tính chất và các quy ước sau đối với vectơ trong không gian:

• Trong không gian, với mỗi điểm O và vectơ a cho trước, có duy nhất điểm M sao cho OM=a

• Các vectơ có điểm đầu và điểm cuối trùng nhau, ví dụ như AA,BB, gọi là các vectơ-không.

• Ta quy ước vectơ không có độ dài là 0, cùng hướng (và vì vậy cùng phương) với mọi vectơ.

• Do đó, các vectơ không đều bằng nhau và được kí hiệu chung là 0.

2. Tổng và hiệu của hai vectơ trong không gian

a) Tổng của hai vectơ trong không gian

Bài toán thực tế lớp 12 Vectơ và tọa độ của vectơ trong không gian

Trong không gian, cho hai vectơ ab. Lấy một điểm O bất kì và các điểm A, B sao cho OA=aAB=b. Khi đó, vectơ OB được gọi là tổng của hai vectơ ab, ký hiệu là a + b.

Trong không gian, phép lấy tổng của hai vectơ được gọi là phép cộng vectơ.

Nhận xét: Quy tắc ba điểm và quy tắc hình bình hành trong mặt phẳng vẫn đúng trong không gian:

Bài toán thực tế lớp 12 Vectơ và tọa độ của vectơ trong không gian

• Quy tắc ba điểm: Nếu A, B, C là ba điểm bất kì thì AB+BC=AC

• Quy tắc hình bình hành: Nếu ABCD là hình bình hành thì AB+AD=AC

Bài toán thực tế lớp 12 Vectơ và tọa độ của vectơ trong không gian

• Quy tắc hình hộp chữ nhật: Cho hình hộp ABCD.A'B'C'D'. Ta có AB+AD+AA'=AC'.

Hệ thức tương tự: BA+BC+BB'=BD'

Chú ý: Tương tự như phép cộng vectơ trong mặt phẳng, phép cộng vectơ trong không gian có các tính chất sau:

• Tính chất giao hoán: Nếu ab là hai vectơ bất kì thì a+b=b+a.

• Tính chất kết hợp: Nếu a, bc là ba vectơ bất ki thì a+b+c=a+b+c.

• Tính chất cộng với vectơ 0: Nếu a là một vectơ bất kì thì a+0=0+a=a.

Từ tính chất kết hợp của phép cộng vectơ trong không gian, ta có thể viết tổng của ba vectơ a, bca+b+c mà không cần sử dụng các dấu ngoặc. Tương tự đối với tổng của nhiều vectơ trong không gian.

b) Hiệu của hai vectơ trong không gian

Vectơ đối: Trong không gian, vectơ có cùng độ dài và ngược hướng với vectơ a được gọi là vectơ đối của vectơ a

• Vectơ đối của a kí hiệu là -a

• Vectơ đối của ABBA, nghĩa là AB=BA (dùng để làm mất dấu trừ trước vectơ)

• Vectơ 0 được coi là vectơ đối của chính nó

Định nghĩa: Trong không gian, cho hai vectơ a, b. Ta gọi a+b là hiệu của hai vectơ ab và kí hiệu là a - b. Phép lấy hiệu của hai vectơ được gọi là phép trừ vectơ.

Nhận xét:

Bài toán thực tế lớp 12 Vectơ và tọa độ của vectơ trong không gian

• Với ba điểm O, A, B bất kì trong không gian thì ta có OBOA=AB.

• Hai vectơ ab đối nhau thì a+b=0

3. Tích của một số với một vectơ trong không gian

Trong không gian, tích của một số thực k ≠ 0 với một vectơ a0 là một vectơ, kí hiệu là ka, được xác định như sau:

• Cùng hướng với vectơ a nếu k > 0; ngược hướng với vectơ a nếu k < 0

Có độ dài bằng |k|.|a|.

Phép lấy tích của một số với một vectơ được gọi là phép nhân một số với một vectơ.

Chú ý: Quy ước ka=0 nếu k = 0 hoặc a=0.

• Nếu ka=0 thì k = 0 hoặc a=0.

• Trong không gian, điều kiện cần và đủ để hai vectơ ab b0 cùng phương là có một số thực k sao cho a=kb.

Hệ thức trung điểm, trọng tâm:

Bài toán thực tế lớp 12 Vectơ và tọa độ của vectơ trong không gian

▪ Nếu I là trung điểm của đoạn thẳng AB thì IA+IB=0; IA=IB; AI=12AB;…

▪ Nếu G là trọng tâm của tam giác ABC thì GA+GB+GC=0; GA=23AK; GA=2GK;…

Nhận xét:

▪ Với hai vectơ ab bất kỳ, với mọi số hk, ta luôn có:

ka+b=ka+kb

h+ka=ha+ka

hka=hka

1.a=a

1.a=a

k.a=0 Bài toán thực tế lớp 12 Vectơ và tọa độ của vectơ trong không gian

▪ Hai vectơ ab (b khác 0) cùng phương khi và chỉ khi có số k sao cho a=k.b

▪ Ba điểm phân biệt A, B, C thẳng hàng khi và chỉ khi có số k0 sao cho AB=kAC.

4. Tích vô hướng của hai vectơ trong không gian

Góc giữa hai vectơ

Trong không gian, cho hai vectơ u, v khác 0. Lấy một điểm A bất kì và gọi B, Clà hai điểm sao cho AB=u, AC=v. Khi đó, góc BAC^0°BAC^180° được gọi là góc giữa hai vectơ uv, kí hiệu là (u, v).

Bài toán thực tế lớp 12 Vectơ và tọa độ của vectơ trong không gian

▪ Nếu u cùng hướng với v thì u, v=0°; ngược hướng thì u, v=180°; vuông góc thì u, v=90°

Định nghĩa tích vô hướng của hai vectơ: Trong không gian, cho hai vectơ u, v khác 0. Tích vô hướng của hai vectơ uv là một số, kí hiệu là u.v, được xác định bởi công thức: u.v=|u|.|v|.cos(u, v).

▪ Trong trường hợp u = 0 hoặc v = 0 ta quy ước u.v=0

u.u=u2=u2 ; u20 ; u2=0 u=0

▪ Với hai vectơ u, v khác 0, ta có cosu, v=u.v|u|.|v|

▪ Với hai vectơ u, v khác 0, ta có u vu. v=0

Tính chất: Với ba vectơ a, b, c và số thực k ta có:

a.b=b. a;

a.b+c=a .b+a .c

ka.b=ka.b=a.kb

5. Hệ trục toạ độ trong không gian

Định nghĩa: Trong không gian, ba trục Ox, Oy, Oz đôi một vuông góc với nhau tại gốc O của mỗi trục.

Bài toán thực tế lớp 12 Vectơ và tọa độ của vectơ trong không gian

Gọi i,j,k lần lượt là các vectơ đơn vị trên các trục Ox, Oy, Oz.

• Hệ ba trục như vậy được gọi là hệ trục toạ độ Descartes vuông góc Oxyz hay đơn giản là hệ tọa độ Oxyz.

• Điểm O được gọi là gốc toạ độ.

• Các mặt phẳng Oxy, Oyz, Ozx đôi một vuông góc với nhau được gọi là các mặt phẳng toạ độ.

i2=j2=k2=1i.j=j.k=k.i=0

Không gian với hệ toạ độ Oxyz còn được gọi là không gian Oxyz.

6. Toạ độ của điểm

Trong không gian với hệ toạ độ Oxyz, cho điểm M. Toạ độ điểm M được xác định như sau:

Bài toán thực tế lớp 12 Vectơ và tọa độ của vectơ trong không gian

• Xác định hình chiếu M1 của điểm M trên mặt phẳng Oxy. Trong mặt phẳng toạ độ Oxy tìm hoành độ a, tung độ b của điểm M1.

• Xác định hình chiếu P của điểm M trên trục cao Oz, điểm P ứng với số c trên trục Oz. Số c là cao độ của điểm M.

• Bộ số a; b; c là toạ độ điểm M trong không gian với hệ toạ độ Oxyz, kí hiệu là Ma;b; c

7. Toạ độ của vectơ

Trong không gian với hệ toạ độ Oxyz

Bài toán thực tế lớp 12 Vectơ và tọa độ của vectơ trong không gian

• Toạ độ điểm M cũng là toạ độ của vectơ OM

• Cho u. Dựng điểm Ma; b; c thoả mãn OM=u thì toạ độ của điểm M là toạ độ của u.

Theo hình vẽ thì u=OM=OH+OK+OP=a.i+b.j+c.k

Suy ra u=a; b; c=a.i+b.j+c.k

• Toạ độ các vectơ đơn vị lần lượt là:

i=1; 0 ; 0, j=0; 1; 0, k=0 ; 0; 1.

8. Biểu thức toạ độ của phép toán cộng, trừ, nhân một số thực với một vectơ

Trong không gian Oxyz, cho hai vectơ a=x;y;zb=x';y';z'. Khi đó ta có:

a+b=x+x';y+y';z+z'

ab=xx';yy';zz'

ka=kx ; ky ; kz với k là một số thực.

Nhận xét: Vectơ a=x;y;z cùng phương với vectơ b=x';y';z'0 khi và chỉ khi tồn tại số thực k sao cho Bài toán thực tế lớp 12 Vectơ và tọa độ của vectơ trong không gian

9. Biểu thức toạ độ tích vô hướng của hai vectơ

Trong không gian Oxyz, tích vô hướng của hai vectơ a=x;y;zb=x';y';z' được xác định bởi công thức: a.b=xx'+yy'+zz'

Nhận xét:

• Hai vectơ a b vuông góc với nhau khi và chỉ khi xx'+yy'+zz'=0.

• Nếu a=x;y;z thì |a|=aa=x2+y2+z2.

• Nếu a=x;y;z b=x';y';z' là hai vectơ khác 0 thì

cosa,b=ab|a|.|b|=xx'+yy'+zz'x2+y2+z2x'2+y'2+z'2.

Chú ý: Nếu AxA;yA;zABxB;yB;zB thì AB=|AB|=xBxA2+yByA2+zBzA2.

Đặc biệt khi B trùng O ta nhận được công thức OA=xA2+yA2+zA2.

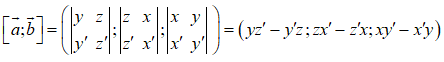
10. Biểu thức toạ độ tích có hướng của hai vectơ

Trong không gian Oxyz, cho hai vectơ a=x;y;zb=x';y';z' không cùng phương. Khi đó vectơ

w=yz'y'z ; zx'z'x; xy'x'y vuông góc với hai vectơ ab

▪ Vectơ xác định như trên gọi là tích có hướng của hai vectơ ab kí hiệu là w=[a;b]

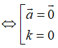
▪ Quy ước Bài toán thực tế lớp 12 Vectơ và tọa độ của vectơ trong không gian thì Bài toán thực tế lớp 12 Vectơ và tọa độ của vectơ trong không gian

a không cùng phương với b khi và chỉ khi [a;b]0

11. Biểu thức toạ độ trung điểm của đoạn thẳng, trọng tâm tam giác

Bài toán thực tế lớp 12 Vectơ và tọa độ của vectơ trong không gian

Trong không gian Oxyz, toạ độ trung điểm và trọng tâm được xác định như sau:

▪ Toạ độ trung điểm M của đoạn thẳng ABMxA+xB2; yA+yB2; zA+zB2.

▪ Toạ độ trọng tâm G của tam giác ABCGxA+xB+xC3; yA+yB+yC3; zA+zB+zC3.

B. BÀI TẬP

Bài 1. Tính khoảng cách từ trọng tâm của một khối Rubik (đồng chất) hình tứ diện đều đến một mặt của nó, biết rằng chiều cao của khối Rubik là 8 cm.

Bài toán thực tế lớp 12 Vectơ và tọa độ của vectơ trong không gian

Lời giải

Bài toán thực tế lớp 12 Vectơ và tọa độ của vectơ trong không gian

Giả sử khối Rubik (đồng chất) hình tứ diện đều được mô phỏng như hình vẽ.

G là trọng tâm DBCD nên I là trọng tâm của tứ diện.

ABCD là hình tứ diện đều nên AGBCDAG = 8 cm.

Mặt khác AI=3IG nên 3 điểm A, I, G thẳng hàng và IG=14AG.

Do đó IGBCDdI,BCD=IG=14AG=2cm.

Bài 2. Ba sợi dây không giãn với khối lượng không đáng kể được buộc chung một đầu và được kéo căng về ba hướng khác nhau. Nếu các lực kéo làm cho ba sợi dây ở trạng thái đứng yên thì khi đó ba sợi dây nằm trên cùng một mặt phẳng. Hãy giải thích vì sao?

Bài toán thực tế lớp 12 Vectơ và tọa độ của vectơ trong không gian

Lời giải

Bài toán thực tế lớp 12 Vectơ và tọa độ của vectơ trong không gian

Giả sử lực kéo trên mỗi sợi dây được biểu diễn bởi các vectơ OA,OB,OC với là đầu chung của ba sợi dây. Khi ba sợi dậy cân bằng thì OA+OB+OC=0.

Vẽ hình bình hành OADB. Theo quy tắc hình bình hành thì OA+OB=OD.

Do đó OA+OB+OC=0OD+OC=0OC=OD.

Hay O là trung điểm của CD. Do đó các điểm O, A, B, C cùng thuộc mặt phẳng (ABCD).

Suy ra ba sợi dây cùng nằm trong mặt phẳng đó.

Bài 3. Cho biết A (đơn vị: J ) sinh bởi lực F tác dụng lên một vật được tính bằng công thức A=F.d trong đó d là vectơ biểu thị độ dịch chuyển của vật (đơn vị: mét) khi chịu tác dụng của lực F. Một chiếc xe có khối lượng 1,5 tấn đang đi xuống trên một đoạn đường dốc có góc nghiêm 5o so với phương ngang. Tính công sinh ra bởi trọng lực P khi xe đi hết đoạn đường dốc dài 30 m (làm trong kết quả đến hàng đơn vị), biết rằng trọng lực P được xác định bởi công thức P=m.g, với m (đơn vị: kg) là khối lượng của vật và g là gia tốc rơi tự do có độ lớn g=9,8m/s2.

Bài toán thực tế lớp 12 Vectơ và tọa độ của vectơ trong không gian

Bài 4. Một chất điểm A nằm trên mặt phẳng nằm ngang (α), chịu tác động bởi ba lực F1, F2, F3. Các lực F1, F2 có giá nằm trong (α) và F1, F2=135°, còn lực F3 có giá vuông góc với (α) và hướng lên trên. Xác định cường độ hợp lực của các lực F1, F2, F3 biết rằng độ lớn của ba lực đó lần lượt là 20 N, 15 N và 10N.

Bài 5. Trong không gian với một hệ trục toạ độ cho trước (đơn vị đo lấy theo km), ra đa phát hiện một chiếc máy bay di chuyển với vận tốc và hướng không đổi từ điểm A800;500;7 đến điểm B940;550;8 trong 10 phút. Nếu máy bay tiếp tục giữ nguyên vận tốc và hướng bay thì toạ độ của máy bay sau 10 phút tiếp theo Dx;y;z. Khi đó x+y+z=?

Bài toán thực tế lớp 12 Vectơ và tọa độ của vectơ trong không gian

Bài 6. Một chiếc xe đang kéo căng sợi dây cáp AB trong công trường xây dựng, trên đó đã thiết lập hệ toạ độ Oxyz như hình vẽ dưới với độ dài đơn vị trên các trục tọa độ bằng 1m. Tìm được tọa độ của vectơ AB=a;b;c. Khi đó tính a + c.

Bài toán thực tế lớp 12 Vectơ và tọa độ của vectơ trong không gian

Bài 7. Một thiết bị thăm dò đáy biển như hình vẽ được đẩy bởi một lực f=5;4;2 (đơn vị: N) giúp thiết bị thực hiện độ dời a=70;20;40 (đơn vị: m). Tính công sinh bởi lực f.

Bài toán thực tế lớp 12 Vectơ và tọa độ của vectơ trong không gian

................................

................................

................................

Xem thử

Xem thêm Chuyên đề Toán thực tế lớp 12 chương trình mới có lời giải hay khác:


Giải bài tập lớp 12 sách mới các môn học