Trắc nghiệm Sinh học 11 Kết nối tri thức Bài 13 (có đáp án): Bài tiết và cân bằng nội môi
Với 19 câu hỏi trắc nghiệm Sinh học 11 Bài 13: Bài tiết và cân bằng nội môi sách Kết nối tri thức có đáp án và lời giải chi tiết đầy đủ các mức độ sẽ giúp học sinh lớp 11 ôn luyện trắc nghiệm Sinh 11.
PHẦN I. CÂU HỎI TRẮC NGHIỆM NHIỀU LỰA CHỌN
Câu 1: Nếu các chất độc hại, chất dư thừa tích tụ lại trong cơ thể sẽ
A. gây mất cân bằng nội môi.
B. gây tổn thương tế bào, cơ quan.
C. dẫn đến mắc các bệnh lí.
D. Tất cả các đáp án trên.
Câu 2: Mỗi nephron được cấu tạo từ
A. cầu thận và ống thận.
B. phần vỏ và phần tủy.
C. quản cầu và nang Bowman.
D. cầu thận và bể thận.
Câu 3: Đặc điểm nào dưới đây tương ứng với giai đoạn lọc trong quá trình hình thành nước tiểu ở nephron?
A. Nước, các chất dinh dưỡng, các ion cần thiết trong dịch lọc được các tế bào ống thận hấp thụ trả về máu.
B. Huyết áp đẩy nước và các chất hòa tan từ máu qua lỗ lọc vào trong bang Bowman, tạo ra dịch lọc cầu thận.
C. Chất độc, một số ion dư thừa được các tế bào thành ống thận tiết vào dịch lọc.
D. Nước tiểu được ống góp hấp thụ bớt nước và chảy vào bể thận.
Câu 4: Trung bình mỗi ngày có bao nhiêu lít nước tiểu đầu được tạo thành?
A. 1700 – 1800 L.
B. 170 – 180 L.
C. 15 – 20L.
D. 1,5 – 2 L.
Câu 5: Mỗi hệ thống điều hòa cân bằng nội môi gồm các thành phần là
A. bộ phận tiếp nhận kích thích và bộ phận đáp ứng kích thích.
B. bộ phận tiếp nhận kích thích và bộ phận thực hiện.
C. bộ phận tiếp nhận kích thích, bộ phận điều khiển và bộ phận thực hiện.
D. bộ phận điều khiển, bộ phận thực hiện và hệ thần kinh.
Câu 6: Phát biểu nào sai khi nói về hệ thống điều hòa cân bằng nội môi?
A. Bộ phận tiếp nhận tiếp nhận kích thích từ môi trường trong hoặc ngoài cơ thể.
B. Bộ phận tiếp nhận kích thích chuyển tín hiệu gây ra đáp ứng ở bộ phận thực hiện.
C. Bộ phận điều khiển chuyển tín hiệu thần kinh hoặc hormone đến bộ phận thực hiện tạo kết quả đáp ứng.
D. Khi một bộ phận của hệ thống điều hòa cân bằng nội môi hoạt động không bình thường sẽ dẫn đến mất cân bằng nội môi.
Câu 7: Vai trò của gan trong điều hòa cân bằng nội môi là
A. điều hòa nồng độ của nhiều chất hòa tan như protein, glucose,… trong huyết tương.
B. điều hòa cân bằng muối và nước, qua đó duy trì áp suất thẩm thấu của dịch cơ thể.
C. duy trì pH máu qua điều chỉnh tiết H+ vào dịch lọc và tái hấp thụ HCO3- từ dịch lọc trả về máu.
D. duy trì pH máu qua điều chỉnh lượng O2 và CO2 trong máu.
Câu 8: Bộ phận nào có vai trò dẫn nước tiểu từ bể thận xuống bàng quang?
A. Niệu quản.
B. Niệu đạo.
C. Ống góp.
D. Quản cầu.
Câu 9: Chức năng của thận là
A. lọc máu, tái hấp thụ các chất dinh dưỡng.
B. điều tiết lượng nước và muối hấp thụ.
C. loại bỏ các chất độc hại và chất dư thừa ra khỏi cơ thể.
D. Tất cả các chức năng trên.
Câu 10: Bộ phận thực hiện trong cơ chế điều hòa cân bằng nội môi là
A. thụ thể hoặc cơ quan thụ cảm.
B. trung ương thần kinh.
C. tuyến nội tiết.
D. các cơ quan thận, gan, phổi, tim, mạch máu.
Câu 11: Khi hàm lượng glucose trong máu tăng, cơ chế điều hòa diễn ra theo trật tự là
A. tuyến tụy → insulin → gan và tế bào cơ thể → glucose trong máu giảm.
B. gan → insulin → tuyến tụy và tế bào cơ thể → glucose trong máu giảm.
C. gan → tuyến tụy và tế bào cơ thể → insulin → glucose trong máu giảm.
D. insulin → gan và tế bào cơ thể → tuyến tụy → glucose trong máu giảm.
Câu 12: Để bảo vệ thận cần thực hiện biện pháp nào sau đây?
A. Có chế độ ăn hợp lí, uống đủ nước.
B. Không uống nhiều rượu, bia.
C. Không sử dụng quá nhiều loại thuốc.
D. Tất cả các biện pháp trên.
Câu 13: Trường hợp nào dưới đây thường có nguy cơ chạy thận nhân tạo cao nhất?
A. Người bị tai nạn giao thông.
B. Người bị sỏi bàng quang giai đoạn đầu.
C. Người bị suy thận nặng.
D. Người hút nhiều thuốc lá.
Câu 14: Một bệnh nhân bị ngộ độc thức ăn dẫn tới nôn nhiều. Khi liên tục nôn sẽ làm giảm huyết áp, bởi vì
A. khi nôn nhiều làm bệnh nhân yếu dần đi, tim đập nhận làm huyết áp giảm.
B. khi nôn nhiều thì sẽ mất nước dẫn tới giảm thể tích máu, làm giảm huyết áp.
C. khi nôn nhiều làm mất đi một lượng máu, dẫn tới làm giảm huyết áp.
D. khi nôn nhiều dẫn tới mất dinh dưỡng, làm cho thành mạch máu co lại làm giảm huyết áp.
Câu 15: Một người đàn ông có nồng độ aldosterone trong máu cao dẫn tới bị bệnh cao huyết áp. Điều này ảnh hưởng đến độ pH máu như thế nào?
A. pH máu giảm do huyết áp cao đẩy máu tới các cơ quan mạnh, trao đổi chất mạnh tạo ra nhiều CO2.
B. pH máu giảm do aldosterone làm tăng hấp thu H+.
C. pH máu tăng do aldosterone làm giảm hấp thu H+.
D. pH máu tăng do huyết áp cao đẩy máu tới các cơ quan hô hấp giúp thải CO2 ra ngoài.
PHẦN II. CÂU HỎI TRẮC NGHIỆM ĐÚNG SAI
Câu 1. Mỗi nhận định sau là đúng hay sai khi nói về vai trò của hệ bài tiết?
a. Tránh sự chuyển hóa các chất dư thừa trong cơ thể thành các chất độc hại.
b. Giúp cơ thể tiếp nhận và tích lũy các chất cần thiết từ môi trường ngoài.
c. Duy trì nồng độ các chất trong cơ thể ở mức ổn định.
d. Đào thải các chất độc ra khỏi cơ thể.
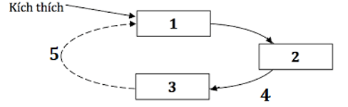
Câu 2. Hình sau đây mô tả cơ chế điều hòa cân bằng nội môi. Khi nói về sơ đồ này, phát biểu nào đúng, phát biểu nào sai?
a. Quá trình điều khiển trong được thực hiện bởi trung ương thần kinh hoặc tuyến nội tiết.
b. [1] là bộ phận điều khiển, [2] là bộ phận tiếp nhận, [3] là bộ phận thực hiện.
c. Tín hiệu được truyền từ [2] truyền đến [3] dưới dạng xung thần kinh hoặc hormone
d. [5] là quá trình kết quả đáp ứng tác động ngược đến bộ phận tiếp nhận kích thích.
PHẦN III. CÂU HỎI TRẮC NGHIỆM TRẢ LỜI NGẮN
Câu 1. Cho các cơ quan: da, gan, tim, thận và phổi. Có bao nhiêu cơ quan bài tiết chủ yếu ở người?
Câu 2. Cho các bộ phận: quai henle, niệu quản, cầu thận, ống góp, ống thận, bể thận và mạch máu. Mỗi đơn vị chức năng của thận được cấu tạo từ bao nhiêu bộ phận kể trên?
Xem thêm câu hỏi trắc nghiệm Sinh học lớp 11 Kết nối tri thức có đáp án hay khác:
Xem thêm các tài liệu học tốt lớp 11 hay khác:
- Giải sgk Sinh học 11 Kết nối tri thức
- Giải Chuyên đề Sinh 11 Kết nối tri thức
- Giải SBT Sinh học 11 Kết nối tri thức
- Giải lớp 11 Kết nối tri thức (các môn học)
- Giải lớp 11 Chân trời sáng tạo (các môn học)
- Giải lớp 11 Cánh diều (các môn học)
- Soạn văn 11 (hay nhất) - KNTT
- Soạn văn 11 (ngắn nhất) - KNTT
- Giải sgk Toán 11 - KNTT
- Giải Tiếng Anh 11 Global Success
- Giải sgk Tiếng Anh 11 Smart World
- Giải sgk Tiếng Anh 11 Friends Global
- Giải sgk Vật Lí 11 - KNTT
- Giải sgk Hóa học 11 - KNTT
- Giải sgk Sinh học 11 - KNTT
- Giải sgk Lịch Sử 11 - KNTT
- Giải sgk Địa Lí 11 - KNTT
- Giải sgk Giáo dục KTPL 11 - KNTT
- Giải sgk Tin học 11 - KNTT
- Giải sgk Công nghệ 11 - KNTT
- Giải sgk Hoạt động trải nghiệm 11 - KNTT
- Giải sgk Giáo dục quốc phòng 11 - KNTT
- Giải sgk Âm nhạc 11 - KNTT