Trắc nghiệm Sinh học 11 Chân trời sáng tạo Bài 13 (có đáp án): Bài tiết và cân bằng nội môi
Với 19 câu hỏi trắc nghiệm Sinh học 11 Bài 13: Bài tiết và cân bằng nội môi sách Chân trời sáng tạo có đáp án và lời giải chi tiết đầy đủ các mức độ sẽ giúp học sinh lớp 11 ôn luyện trắc nghiệm Sinh 11.
PHẦN I. CÂU HỎI TRẮC NGHIỆM NHIỀU LỰA CHỌN
Câu 1: Trong điều kiện bình thường, chất nào sau đây được bài tiết khỏi cơ thể?
A. CO2.
B. Urea.
C. Bilirubin.
D. Tất cả các chất trên.
Câu 2: Sản phẩm thải của thận là
A. Mồ hôi.
B. Nước tiểu.
C. Khí CO2.
D. Bilirubin.
Câu 3: Mỗi quả thận được cấu tạo từ
A. một đến vài trăm đơn vị chức năng gọi là nephron.
B. khoảng một triệu đơn vị chức năng gọi là nephron.
C. một đến vài trăm đơn vị chức năng gọi là quai Henle.
D. khoảng một triệu đơn vị chức năng gọi là bể thận.
Câu 4: Hầu hết các chất được bài tiết dưới dạng hoà tan trong máu, ngoại trừ
A. CO2.
B. Creatinine.
C. Glucose.
D. NH3.
Câu 5: Phát biểu nào không đúng khi nói về nephron?
A. Chức năng chính của ống thận là dẫn nước tiểu vào ống góp, rồi vào bể thận.
B. Mỗi thận được cấu tạo từ khoảng một triệu nephron.
C. Cầu thận gồm búi mao mạch và nang Bowman bên ngoài.
D. Thành phần trực tiếp tham gia lọc máu ở cầu thận là thành các mao mạch trong búi mao mạch.
Câu 6: Cho các giai đoạn sau:
(1) Tiết các ion thừa, chất độc hại vào dịch lọc hình thành nước tiểu chính thức.
(2) Lọc máu ở cầu thận để tạo thành nước tiểu đầu (dịch lọc).
(3) Nước tiểu theo ống dẫn nước tiểu xuống bàng quang để thải ra ngoài.
(4) Tái hấp thu các chất cần thiết cho cơ thể.
Trình tự các giai đoạn của quá trình hình thành và bài tiết nước tiểu là:
A. (2) → (4) → (3) → (1).
B. (2) → (4) → (1) → (3).
C. (1) → (2) → (3) → (4).
D. (1) → (3) → (2) → (4).
Câu 7: Chất nào sau đây không có trong nước tiểu của người khoẻ mạnh?
A. Urea.
B. Muối.
C. Nước.
D. Protein.
Câu 8: Phát biểu nào không đúng khi nói về cân bằng nội môi?
A. Cân bằng nội môi là sự duy trì ổn định của môi trường bên trong cơ thể.
B. Cân bằng nội môi có tính chất cân bằng động.
C. Trạng thái cân bằng nội môi được duy trì nhờ hệ thống điều hoà cân bằng nội môi.
D. Khi ở trạng thái cân bằng nội môi, các chỉ số như huyết áp, nhiệt độ cơ thể, lượng đường trong máu,... là một hằng số.
Câu 9: Trong hệ thống điều hoà cân bằng nội môi, bộ phận điều khiển có vai trò
A. tiếp nhận kích thích từ môi trường trong hay ngoài cơ thể.
B. xử lí thông tin được truyền từ bộ phận tiếp nhận kích thích.
C. thực hiện đáp ứng để điều chỉnh hoạt động.
D. liên hệ ngược trở lại bộ phận đáp ứng.
Câu 10: Khẳng định nào dưới đây về vai trò của thận trong điều hoà cân bằng nội môi là không đúng?
A. Thận điều hoà lượng glucose máu thông qua việc tiết hormone insulin.
B. Thận điều hoà pH máu thông qua quá trình thải H+ ra nước tiểu.
C. Thận điều hoà áp suất thẩm thấu máu thông qua quá trình thải nước ra nước tiểu.
D. Thận điều hoà thể tích máu và huyết áp thông qua việc tiết renin và thay đổi lượng nước tiểu tạo thành.
Câu 11: Khi hàm lượng glucose trong máu tăng
A. tuyến tụy tăng tiết hormone insulin, kích thích tế bào cơ thể tăng nhận glucose, gan tăng nhận và chuyển glucose thành dạng glycogen dự trữ.
B. tuyến tụy tăng tiết hormone insulin, kích thích gan phân giải glycogen thành glucose đưa vào máu.
C. kích thích tuyến tụy tăng tiết hormone glucagon, gan tăng nhận và chuyển glucose thành dạng glycogen dự trữ.
D. kích thích tuyến tụy tăng tiết hormone glucagon, gan phân giải glycogen thành glucose đưa vào máu.
Câu 12: Ví dụ sau đây không thể hiện cơ chế cân bằng nội môi?
A. Nồng độ glucose trong máu người được duy trì ở mức 3,9 – 6,4 mmol/L.
B. Ở người, pH máu được duy trì khoảng 7,35 – 7,45 nhờ hoạt động của hệ đệm, phổi và thận.
C. Khi áp suất thẩm thấu trong máu tăng cao, thận tăng cường tái hấp thụ nước và tăng uống nước.
D. Hoạt động của các tế bào bạch cầu làm giảm số lượng tác nhân gây bệnh trong cơ thể.
Câu 13: Khi nồng độ glucose trong máu giảm, phản ứng sau đây nhằm đưa nồng độ glucose trở về mức ổn định?
A. Tuyến tụy tiết hormone glucagon.
B. Tế bào gan biến đổi glucose thành glycogen.
C. Các tế bào tăng cường hấp thu glucose.
D. Chuyển hoá glucose dư thừa thành lipid dự trữ.
Câu 14: Cho biết chỉ số xét nghiệm Urea của người bình thường từ 2,5 – 7,5 mmol/L, nếu một người có chỉ số urea trong máu là 8,0 mmol/L thì có nguy cơ mắc bệnh gì?
A. Bệnh tiểu đường.
B. Bệnh Gout.
C. Bệnh tiêu chảy.
D. Bệnh viêm phổi.
Câu 15: Phát biểu sau đây là đúng khi nói về sỏi thận và đường tiết niệu?
(1) Các trường hợp sỏi thận đều phải chữa trị bằng phẫu thuật để lấy sỏi ra khỏi cơ thể.
(2) Tiểu ra máu là một trong những biểu hiện của sỏi đường tiết niệu.
(3) Người uống nhiều nước, thường xuyên nhịn tiểu có nguy cơ mắc bệnh sỏi thận và đường tiết niệu.
(4) Ăn nhiều thực phẩm chứa các loại muối calci, phosphate,... là một trong những nguyên nhân gây sỏi thận.
A. 1.
B. 2.
C. 3.
D. 4.
PHẦN II. CÂU HỎI TRẮC NGHIỆM ĐÚNG SAI
Câu 1. Mỗi nhận định sau là đúng hay sai khi nói về vai trò của hệ bài tiết?
a. Tránh sự chuyển hóa các chất dư thừa trong cơ thể thành các chất độc hại.
b. Giúp cơ thể tiếp nhận và tích lũy các chất cần thiết từ môi trường ngoài.
c. Duy trì nồng độ các chất trong cơ thể ở mức ổn định.
d. Đào thải các chất độc ra khỏi cơ thể.
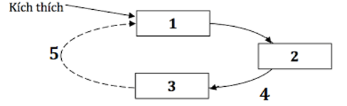
Câu 2. Hình sau đây mô tả cơ chế điều hòa cân bằng nội môi. Khi nói về sơ đồ này, phát biểu nào đúng, phát biểu nào sai?
a. Quá trình điều khiển trong được thực hiện bởi trung ương thần kinh hoặc tuyến nội tiết.
b. [1] là bộ phận điều khiển, [2] là bộ phận tiếp nhận, [3] là bộ phận thực hiện.
c. Tín hiệu được truyền từ [2] truyền đến [3] dưới dạng xung thần kinh hoặc hormone
d. [5] là quá trình kết quả đáp ứng tác động ngược đến bộ phận tiếp nhận kích thích.
PHẦN III. CÂU HỎI TRẮC NGHIỆM TRẢ LỜI NGẮN
Câu 1. Cho các cơ quan: da, gan, tim, thận và phổi. Có bao nhiêu cơ quan bài tiết chủ yếu ở người?
Câu 2. Cho các bộ phận: quai henle, niệu quản, cầu thận, ống góp, ống thận, bể thận và mạch máu. Mỗi đơn vị chức năng của thận được cấu tạo từ bao nhiêu bộ phận kể trên?
Xem thêm câu hỏi trắc nghiệm Sinh học lớp 11 Chân trời sáng tạo có đáp án hay khác:
Trắc nghiệm Sinh học 11 Bài 14: Khái quát về cảm ứng ở sinh vật
Trắc nghiệm Sinh học 11 Bài 16: Thực hành: Cảm ứng ở thực vật
Xem thêm các tài liệu học tốt lớp 11 hay khác:
- Giải sgk Sinh học 11 Chân trời sáng tạo
- Giải Chuyên đề Sinh 11 Chân trời sáng tạo
- Giải SBT Sinh học 11 Chân trời sáng tạo
- Giải lớp 11 Chân trời sáng tạo (các môn học)
- Giải lớp 11 Kết nối tri thức (các môn học)
- Giải lớp 11 Cánh diều (các môn học)
- Soạn văn 11 (hay nhất) - CTST
- Soạn văn 11 (ngắn nhất) - CTST
- Giải sgk Toán 11 - CTST
- Giải Tiếng Anh 11 Global Success
- Giải sgk Tiếng Anh 11 Smart World
- Giải sgk Tiếng Anh 11 Friends Global
- Giải sgk Vật Lí 11 - CTST
- Giải sgk Hóa học 11 - CTST
- Giải sgk Sinh học 11 - CTST
- Giải sgk Lịch Sử 11 - CTST
- Giải sgk Địa Lí 11 - CTST
- Giải sgk Giáo dục KTPL 11 - CTST
- Giải sgk Hoạt động trải nghiệm 11 - CTST
- Giải sgk Âm nhạc 11 - CTST